Sensoren als Schnittstelle zur Umwelt
Sensoren, auch Messwertaufnehmer genannt, sind technische Komponenten, die ein nichtelektrisches Eingangssignal in eine elektrische Ausgangsgröße wandeln. In den voherigen Kapiteln haben wir mit Temperatur, Luftdruck oder Freinstaub bereits verschiedene Sensoren für Umweltgrößen genutzt. Auch im Alltag finden wir mit Rauch- und Bewegungsmelder, Mikrofon oder Helligkeitsanpassung am Smartphonedisplay viele selbstverständliche Anwendungen. Im Folgenden wollen wir selbst einen einfachen Lichtsensor aufbauen.
Dies erfordert nur wenige elektonische Bauteile und kann für wenige Cent realisiert werden. Grundlage ist der Spannungsteiler aus dem Physikunterricht.
Ohmsches Gesetz:
Stellt den Zusammenhang zwischen Spannung und Stromstärke her. Beide Größen stehen in einem proportionalem Verhältnis zueinander (U ~ I). Der Proportionalitätsfaktor R wird als Widerstand bezeichnet.
U = R*I
Kirchhoff'sche Regeln:
Maschenregel: In jedem Netz ist die Summe der von den Quellen abgegebenen Energie gleich der Summe der von den Verbrauchern aufgenommenen Energie. Deshalb gilt: Die Summe der Spannungen innerhalb eines Maschenumlaufs ist Null.
ΣUk=0
Knotenregel: Transportierte Ladungen können in einem Knoten nicht verschwinden. Deshalb gilt: Die Summe der abfließenden Ströme ist gleich der Summe der zufließenden Ströme.
ΣIk=0
Temperatur und Widerstandswert: Der elektrische Widerstand eines Leiters (wie z. B. einem Kabel) ist nicht konstant, sondern ändert sich mit der Temperatur. Bei den meisten Metallen (z. B. Kupfer) gilt: Steigt die Temperatur, nimmt auch der Widerstand zu. Technisch gesprochen besitzen diese Materialien einen positiven Temperaturkoeffizienten. Dies liegt daran, dass die wärmebedingt stärker schwingenden Atome die Bewegung der Elektronen stärker behindern. Nur bei einigen speziellen Materialien (z. B. Kohle oder Halbleitern) nimmt der Widerstand mit steigender Temperatur ab (negativer Temperaturkoeffizient).

Spannungsteiler
Schalten wir zwei Widerstände in Reihe an einer Spannungsquelle U, so addiert sich der Gesamtwiderstand Rges = R1+R2 zur Summe der beiden Einzelwiderstände. Der Gesamtstrom I = U/Rges = U/(R1+R2) fließt gleichermaßen durch beide Widerstände. Gemäß dem Ohmschen Gesetz läßt sich die Spannung am Widerstand R1 durch U1=R1*I beschreiben. Setzen wir für I die obige Formel ein, so erhalten wir die Grundgleichung des Spannungsteilers U1=R1/(R1+R2)*U.
Kondensator als (Ladungs-)Speicher
Während in der anfänglichen Betrachtung oft von zeitlich konstanten Strömen und Spannungen (Gleichspannung) ausgegangen wird, treten bei der realen Verarbeitung, wie beispielsweise in einem Computer, ständige Wechsel zwischen High- und Low-Pegeln auf.
Diese zeitliche Abhängigkeit von Spannung und Strom wird in der Elektrotechnik üblicherweise durch die Symbole u(t) (Spannung) bzw. i(t) (Strom) kenntlich gemacht.
Mit Oszilloskopen lassen sich diese Veränderungen als Zeit-Diagramme visualisieren.
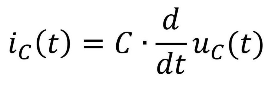
Besonders wichtig ist, dass nicht nur ohmsche Widerstände existieren: Bauteile wie Kondensatoren haben einen Wechselstromwiderstand, der direkt von der Änderungsgeschwindigkeit der anliegenden Spannungspegel abhängt. Dies bedeutet, dass eine Änderung der Spannung über dem Kondensator einen Stromfluss verursacht. Das Verhältnis zwischen der Ladungsmenge, die der Kondensator speichert, und der zeitlichen Änderung der anliegenden Spannung bezeichnet man als Kapazität C.
Die elektrische Spannung U (Einheit Volt, V) beschreibt die notwendige Energie, um eine elektrische Ladung innerhalb eines elektrischen Feldes zu bewegen.
Durch Bewegung von Ladungsträgern entsteht ein elektrischer Strom I, dessen Stärke (Einheit Ampere, A) durch die bewegte Ladungsmenge pro Zeit charakterisiert ist.
Die elektrische Leistung P= U*I = U²/R als Produkt von Strom und Spannung beschreibt die Energie pro Zeit (Einheit Watt, 1 W = 1 VA).
Ist ein elektronisches Bauelement auf Halbleiterbasis, das elektrischen Strom in einer Richtung passieren lässt und in der anderen Richtung sperrt. Sie hat eine Durchlassrichtung und eine Sperrrichtung.
Ein stromverstärkendes bzw. stromschaltendes Bauteil. Dazu dienen drei Anschlüsse, die Basis B, der Collektor C und der Emitter E.
Sie verlassen die offizielle Website der Hochschule Trier